A Peek Beyond the Point Class 7 Solutions Ganita Prakash Maths Chapter 3

NCERT Class 7 Maths Chapter 3 A Peek Beyond the Point Solutions Question Answer

Ganita Prakash Class 7 Chapter 3 Solutions A Peek Beyond the Point

NCERT Class 7 Maths Ganita Prakash Chapter 3 A Peek Beyond the Point Solutions Question Answer

3.1 The Need for Smaller Units

NCERT In-Text Questions (Pages 46-48)

In the following figure, screws are placed above a scale. Measure them and write their length in the space provided.
A Peek Beyond the Point Class 7 Solutions Ganita Prakash Maths Chapter 3 Page 46 Q1
Solution:
A Peek Beyond the Point Class 7 Solutions Ganita Prakash Maths Chapter 3 Page 46 Q1.1

Which scale helped you measure the length of the screws accurately? Why?
Solution:
The third scale helped us to measure the length of the screws accurately because each unit length has been further divided into 10 equal parts.

Can you explain why the unit was divided into smaller parts to measure the screws?
Solution:
Yes, as the screws are so long that cannot be measured in exact unit length. Therefore, the unit was divided into smaller parts.

Measure the following objects using a scale and write their measurements in centimetres (as shown earlier for the lengths of the screws): pen, sharpener, and any other object of your choice.
Solution:
Do it yourself.

A Peek Beyond the Point Class 7 Solutions Ganita Prakash Maths Chapter 3

Write the measurements of the objects shown in the picture:
A Peek Beyond the Point Class 7 Solutions Ganita Prakash Maths Chapter 3 Page 48 Q1
Solution:
Length of the eraser is 2\(\frac{4}{10}\) cm
Length of the pencil is 4\(\frac{5}{10}\) cm
Length of the chalk is 1\(\frac{4}{10}\) cm

3.2 A Tenth Part

NCERT In-Text Questions (Pages 49-52)

For the objects shown below, write their lengths in two ways and read them aloud. An example is given for the USB cable. (Note that the unit length used in each diagram is not the same.)
The length of the USB cable is 4 and \(\frac{8}{10}\) units or \(\frac{48}{10}\) units.
A Peek Beyond the Point Class 7 Solutions Ganita Prakash Maths Chapter 3 Page 49 Q1
Solution:
The length of the little finger is 1 and \(\frac{3}{10}\) units or \(\frac{13}{10}\) units;
The height of the geometry box is 2 and \(\frac{8}{10}\) units or \(\frac{28}{10}\) units;
and the length of a leaf is 10 and \(\frac{9}{10}\) units or \(\frac{109}{10}\) units.

Arrange these lengths in increasing order:
(a) \(\frac{9}{10}\)
(b) 1\(\frac{7}{10}\)
(c) \(\frac{130}{10}\)
(d) 13\(\frac{1}{10}\)
(e) 10\(\frac{5}{10}\)
(f) 7\(\frac{6}{10}\)
(g) 6\(\frac{7}{10}\)
(h) \(\frac{4}{10}\)
Solution:
(a) \(\frac{9}{10}\) → nine-tenths
(b) \(1 \frac{7}{10}=\frac{17}{10}\) → one and seven-tenths or seventeen tenths
(c) \(\frac{130}{10}\) → one hundred thirty-tenths
(d) \(13 \frac{1}{10}=\frac{131}{10}\) → Thirteen and one-tenths or one hundred thirty-one tenths
(e) \(10 \frac{5}{10}=\frac{105}{10}\) → Ten and five-tenths or one hundred five tenths
(f) \(7 \frac{6}{10}=\frac{76}{10}\) → Seven and six-tenths or seventh-six tenths
(g) \(6 \frac{7}{10}=\frac{67}{10}\) → Six and seven-tenths or sixty-seven tenths
(h) \(\frac{4}{10}\) → four-tenths
These fractional units are in increasing order as:
\(\frac{4}{10}<\frac{9}{10}<1 \frac{7}{10}<6 \frac{7}{10}<7 \frac{6}{10}<10 \frac{5}{10}<\frac{130}{10}<13 \frac{1}{10}\)

Arrange the following lengths in increasing order:
\(4 \frac{1}{10}, \frac{4}{10}, \frac{41}{10}, 41 \frac{1}{10}\)
Solution:
We can see that \(4 \frac{1}{10}=\frac{41}{10}\) and \(41 \frac{1}{10}=\frac{411}{10}\)
Therefore, the given lengths can be arranged in increasing order as:
\(\frac{4}{10}<4 \frac{1}{10}=\frac{41}{10}<41 \frac{1}{10}\)

The lengths of the body parts of a honeybee are given. Find its total length.
A Peek Beyond the Point Class 7 Solutions Ganita Prakash Maths Chapter 3 Page 51 Q1
Head: 2\(\frac{3}{10}\) units
Thorax: 5\(\frac{4}{10}\) units
Abdomen: 7\(\frac{5}{10}\) units
Solution:
The total length of a honeybee = length of the head + length of the thorax + length of the abdomen
A Peek Beyond the Point Class 7 Solutions Ganita Prakash Maths Chapter 3 Page 51 Q1.1

A Celestial Pearl Danio’s length is 2\(\frac{4}{10}\) cm, and the length of a Philippine Goby is \(\frac{9}{10}\) cm. What is the difference in their lengths?
A Peek Beyond the Point Class 7 Solutions Ganita Prakash Maths Chapter 3 Page 51 Q2
Solution:
The length of a Celestial Pearl Danio fish = 2\(\frac{4}{10}\) cm = \(\frac{24}{10}\) cm
The length of a Philippine Goby fish = \(\frac{9}{10}\) cm
So, the difference in their lengths = \(\frac{24}{10}\) cm – \(\frac{9}{10}\) cm
= \(\frac{15}{10}\) cm
= 1\(\frac{5}{10}\) cm

How big are these fish compared to your figure?
Solution:
Do it yourself.

Observe the given sequences of numbers. Identify the change after each term and extend the pattern:
(a) \(4,4 \frac{3}{10}, 4 \frac{6}{10}\), _________, _________, _________, _________
Solution:
A Peek Beyond the Point Class 7 Solutions Ganita Prakash Maths Chapter 3 Page 51 Q3(a)

(b) \(8 \frac{2}{10}, 8 \frac{7}{10}, 9 \frac{2}{10}\), _________, _________, _________, _________
Solution:
A Peek Beyond the Point Class 7 Solutions Ganita Prakash Maths Chapter 3 Page 51 Q3(b)

(c) \(7 \frac{6}{10}, 8 \frac{7}{10}\), _________, _________, _________, _________
Solution:
A Peek Beyond the Point Class 7 Solutions Ganita Prakash Maths Chapter 3 Page 51 Q3(c)

A Peek Beyond the Point Class 7 Solutions Ganita Prakash Maths Chapter 3

(d) \(5 \frac{7}{10}, 5 \frac{3}{10}\), _________, _________, _________, _________
Solution:
A Peek Beyond the Point Class 7 Solutions Ganita Prakash Maths Chapter 3 Page 51 Q3(d)

(e) \(13 \frac{5}{10}, 13,12 \frac{5}{10}\), _________, _________, _________, _________
Solution:
A Peek Beyond the Point Class 7 Solutions Ganita Prakash Maths Chapter 3 Page 51 Q3(e)

(f) \(11 \frac{5}{10}, 10 \frac{4}{10}, 9 \frac{3}{10}\), _________, _________, _________, _________
Solution:
A Peek Beyond the Point Class 7 Solutions Ganita Prakash Maths Chapter 3 Page 51 Q3(f)

3.3 A Hundredth Part

NCERT In-Text Questions (Pages 54-56)

Observe the figure below. Notice the markings and the corresponding lengths written in the boxes when measured from 0. Fill in the lengths in the empty boxes.
A Peek Beyond the Point Class 7 Solutions Ganita Prakash Maths Chapter 3 Page 54 Q1
Solution:
A Peek Beyond the Point Class 7 Solutions Ganita Prakash Maths Chapter 3 Page 54 Q1.1

For the lengths shown below, write the measurements and read out the measures in words.
A Peek Beyond the Point Class 7 Solutions Ganita Prakash Maths Chapter 3 Page 54 Q2
A Peek Beyond the Point Class 7 Solutions Ganita Prakash Maths Chapter 3 Page 54 Q2.1
Solution:
A Peek Beyond the Point Class 7 Solutions Ganita Prakash Maths Chapter 3 Page 54 Q2.2
A Peek Beyond the Point Class 7 Solutions Ganita Prakash Maths Chapter 3 Page 54 Q2.3
A Peek Beyond the Point Class 7 Solutions Ganita Prakash Maths Chapter 3 Page 54 Q2.4

In each group, identify the longest and the shortest lengths. Mark each length on the scale.
A Peek Beyond the Point Class 7 Solutions Ganita Prakash Maths Chapter 3 Page 54 Q3
A Peek Beyond the Point Class 7 Solutions Ganita Prakash Maths Chapter 3 Page 54 Q3.1
Solution:
A Peek Beyond the Point Class 7 Solutions Ganita Prakash Maths Chapter 3 Page 54 Q3.2
A Peek Beyond the Point Class 7 Solutions Ganita Prakash Maths Chapter 3 Page 54 Q3.3
A Peek Beyond the Point Class 7 Solutions Ganita Prakash Maths Chapter 3 Page 54 Q3.4

Figure it Out (Page 58)

Question 1.
Find the sums and differences:
(a) \(\frac{3}{10}+3 \frac{4}{100}\)
(b) \(9 \frac{5}{10} \frac{7}{100}+2 \frac{1}{10} \frac{3}{100}\)
(c) \(15 \frac{6}{10} \frac{4}{100}+14 \frac{3}{10} \frac{6}{100}\)
(d) \(7 \frac{7}{100}-4 \frac{4}{100}\)
(e) \(8 \frac{6}{100}-5 \frac{3}{100}\)
(f) \(12 \frac{6}{100} \frac{2}{100}-\frac{9}{10} \frac{9}{100}\)
Solution:
A Peek Beyond the Point Class 7 Solutions Ganita Prakash Maths Chapter 3 Page 58 Q1
A Peek Beyond the Point Class 7 Solutions Ganita Prakash Maths Chapter 3 Page 58 Q1.1
A Peek Beyond the Point Class 7 Solutions Ganita Prakash Maths Chapter 3 Page 58 Q1.2

3.4 Decimal Place Value

NCERT In-Text Questions (Pages 61-64)

We can ask similar questions about fractional parts:
(a) How many thousandths make one unit?
(b) How many thousandths make one tenth?
(c) How many thousandths make one hundredth?
(d) How many tenths make one ten?
(e) How many hundredths make one ten?
Solution:
We know that the value of a place in the decimal place value chart becomes ten times at every step moving from right to left, and it becomes \(\frac{1}{10}\) times moving from left to right.
Therefore,
A Peek Beyond the Point Class 7 Solutions Ganita Prakash Maths Chapter 3 Page 61 Q1
(a) 1000 thousandths make one unit.
(b) 100 thousandths make one tenth.
(c) 10 thousandths make one hundredth.
(d) 100 tenths make one ten.
(e) 1000 hundredths make one ten.

Make a few more questions of this kind and answer them.
Solution:
Do it yourself.

A Peek Beyond the Point Class 7 Solutions Ganita Prakash Maths Chapter 3

Make a place value table similar to the one above. Write each quantity in decimal form and terms of place value, and read the number:
(a) 2 ones, 3 tenths, and 5 hundredths
(b) 1 ten and 5 tenths
(c) 4 ones and 6 hundredths
(d) 1 hundred, 1 one, and 1 hundredth
(e) \(\frac{8}{100}\) and \(\frac{9}{10}\)
(f) \(\frac{5}{100}\)
(g) \(\frac{1}{10}\)
(h) 2\(\frac{1}{100}\), 4\(\frac{1}{10}\) and 7\(\frac{7}{1000}\)
Solution:
A Peek Beyond the Point Class 7 Solutions Ganita Prakash Maths Chapter 3 Page 61 Q3

Write these quantities in decimal form:
(a) 234 hundredths
(b) 105 tenths.
Solution:
(a) 234 hundredths can be expressed in decimal form as follows:
234 hundredths = \(\frac{234}{100}=\frac{200}{100}+\frac{30}{100}+\frac{4}{100}\)
= 2 + \(\frac{3}{10}\) + \(\frac{4}{100}\)
= 2.34
A Peek Beyond the Point Class 7 Solutions Ganita Prakash Maths Chapter 3 Page 61 Q4(a)
(b) 105 tenths can be expressed in decimal form as follows:
105 tenths = \(\frac{105}{10}\)
= \(\frac{100}{10}+\frac{0}{10}+\frac{5}{10}\)
= 10 + 0 + \(\frac{5}{10}\)
= 10.5
A Peek Beyond the Point Class 7 Solutions Ganita Prakash Maths Chapter 3 Page 61 Q4(b)

3.5 Units of Measurement

Length Conversion

NCERT In-Text Questions (Pages 65-66)

Fill in the blanks below (mm ↔ cm)
A Peek Beyond the Point Class 7 Solutions Ganita Prakash Maths Chapter 3 Page 65 Q1
Solution:
A Peek Beyond the Point Class 7 Solutions Ganita Prakash Maths Chapter 3 Page 65 Q1.1

Fill in the blanks below (cm ↔ m)
A Peek Beyond the Point Class 7 Solutions Ganita Prakash Maths Chapter 3 Page 65 Q2
Solution:
A Peek Beyond the Point Class 7 Solutions Ganita Prakash Maths Chapter 3 Page 65 Q2.1

How many mm does 1 m have?
Solution:
1000 mm = 1 m
[As, 1 m = 100 cm = 100 × 10 mm]

Weight Conversion

NCERT In-Text Questions (Pages 67-68)

Fill in the blanks below (g ↔ kg)
A Peek Beyond the Point Class 7 Solutions Ganita Prakash Maths Chapter 3 Page 67 Q1
Solution:
A Peek Beyond the Point Class 7 Solutions Ganita Prakash Maths Chapter 3 Page 67 Q1.1

Rupee-Paise Conversion

NCERT In-Text Questions (Page 69)

Fill in the blanks below (rupee ↔ paise)
A Peek Beyond the Point Class 7 Solutions Ganita Prakash Maths Chapter 3 Page 69 Q1
Solution:
A Peek Beyond the Point Class 7 Solutions Ganita Prakash Maths Chapter 3 Page 69 Q1.1

3.6 Locating and Comparing Decimals

NCERT In-Text Questions (Page 70)

Name all the divisions between 1 and 1.1 on the number line.
A Peek Beyond the Point Class 7 Solutions Ganita Prakash Maths Chapter 3 Page 70 Q1
Solution:
The divisions between 1 and 1.1 represent the decimal numbers 1.01, 1.02, 1.03, 1.04, 1.05, 1.06, 1.07, 1.08, and 1.09 on the number line.

Identify and write the decimal numbers against the letters.
A Peek Beyond the Point Class 7 Solutions Ganita Prakash Maths Chapter 3 Page 70 Q2
Solution:
The letters marked on the given number line represent the decimal numbers as follows:
A → 5.09, B → 5.13, C → 5.2, D → 5.31

There is Zero Dilemma!

NCERT In-Text Questions (Pages 71-73)

Can you tell which of these (0.2, 0.02, and 0.002) is the smallest and which is the largest?
Solution:
From the decimal place value chart, we see that
A Peek Beyond the Point Class 7 Solutions Ganita Prakash Maths Chapter 3 Page 71 Q1
0.002 representing 2 thousandths is the smallest, and 0.2 representing 2 tenths is the largest decimal number among the given decimals.

A Peek Beyond the Point Class 7 Solutions Ganita Prakash Maths Chapter 3

Which of these are the same: 4.5, 4.05, 0.405, 4.050, 4.50, 4.005, 04.50?
Solution:
From the decimal place value chart, we see that
A Peek Beyond the Point Class 7 Solutions Ganita Prakash Maths Chapter 3 Page 71 Q2
4.5, 4.50, and 04.50 are equal as they represent the same quantity, i.e., four ones and five tenths.
Similarly, 4.05 and 4.050 are equal as they represent the same quantity, i.e., four ones and five hundredths.
But, 0.405 and 4.005 are different as they do not represent the same quantity.

Identify the decimal number in the last number line in Figure (b) denoted by ‘?’
A Peek Beyond the Point Class 7 Solutions Ganita Prakash Maths Chapter 3 Page 71 Q3
Solution:
By labelling the visualised segment of the number line, we find that the decimal number 3.059 is denoted by ‘?’

Make such number lines for the decimal number:
(a) 9.876
(b) 0.407
Solution:
A Peek Beyond the Point Class 7 Solutions Ganita Prakash Maths Chapter 3 Page 71 Q4
A Peek Beyond the Point Class 7 Solutions Ganita Prakash Maths Chapter 3 Page 71 Q4.1

In the number line shown below, what decimal numbers do the boxes labelled ‘a’, ‘b’, and ‘c’ denote?
A Peek Beyond the Point Class 7 Solutions Ganita Prakash Maths Chapter 3 Page 71 Q5
The box with ‘b’ corresponds to the decimal number 7.5; are you able to see how? There are 5 units between 5 and 10, divided into 10 equal parts. Hence, every 2 divisions make a unit, and so every division is \(\frac{1}{2}\) unit. What numbers do ‘a’ and ‘c’ denote?
Solution:
Since each division between 5 and 10 is \(\frac{1}{2}\) = 0.5 unit.
Therefore, the second division after 5, denoted by ‘a’, represents the number 6, while the ninth division, denoted by ‘c’, represents the decimal number 9.5.

Using similar reasoning, find out the decimal numbers in the boxes below.
A Peek Beyond the Point Class 7 Solutions Ganita Prakash Maths Chapter 3 Page 72 Q1
Solution:
There are 10 divisions between 8 and 8.1, so each division is a tenth part of \(\frac{1}{10}\), i.e., \(\frac{1}{100}\) = 0.01 unit.
Therefore, the first division after 8, denoted by ‘d’ represents the decimal number 8.01, while the fifth division, denoted by ‘e’, represents the decimal number 8.05.
Further, there are 10 divisions between 4.3 and 4.8, so each division is a tenth part of 0.5 or \(\frac{5}{10}\), i.e., \(\frac{5}{100}\) = 0.05 unit.
Therefore, the first division after 4.3, denoted by ‘f’, represents the decimal number 4.35, while the fourth division, denoted by ‘g’, represents the decimal number 4.5, and the first division after 4.8, denoted by ‘h’, represents the decimal number 4.85.

Which decimal number is greater?
(a) 1.23 or 1.32
(b) 3.81 or 13.800
(c) 1.009 or 1.090
Solution:
(a) Using the decimal place value chart, we find that:
A Peek Beyond the Point Class 7 Solutions Ganita Prakash Maths Chapter 3 Page 72 Q2
Both numbers have 1 unit, but the first number has 2 tenths, whereas the second number has 3 tenths.
Therefore, 1.23 < 1.32.

(b) Using the decimal place value chart, we find that:
A Peek Beyond the Point Class 7 Solutions Ganita Prakash Maths Chapter 3 Page 72 Q2.1
Here, the first number has 3 units, whereas the second number has 1 ten and 3 units.
Therefore, 3.81 < 13.800.

(c) Using the decimal place value chart, we find that:
A Peek Beyond the Point Class 7 Solutions Ganita Prakash Maths Chapter 3 Page 72 Q2.2
Both numbers have 1 unit and 0 tenths, but the first number has 0 hundredths, whereas the second number has 9 hundredths.
Therefore, 1.009 < 1.090.

Closest Decimals

NCERT In-Text Questions (Page 73)

Which of the decimal numbers 0.9, 1.1, 1.01, and 1.11 is closest to 1.09?
Solution:
Arranging the decimal numbers in ascending order, we have 0.9 < 1.01 < 1.09 < 1.1 < 1.11
Among the neighbours of 1.09, 1.01 is \(\frac{8}{100}\) away from 1.09, whereas 1.1 is \(\frac{1}{100}\) away from 1.09. Therefore, 1.1 is closest to 1.09.

Which among these is closest to 4: 3.56, 3.65, 3.099?
Solution:
Arranging the decimal numbers in ascending order, we have 3.099 < 3.56 < 3.65 < 4
3.65 is closest to 4 among the given decimal numbers.

Which among these is closest to 1: 0.8, 0.69, 1.08?
Solution:
Arranging the decimal numbers in ascending order, we have 0.69 < 0.8 < 1 < 1.08
Among the neighbours of 1, 0.8 is \(\frac{2}{10}\), i.e., \(\frac{20}{100}\) away from 1 whereas 1.08 is \(\frac{8}{100}\) away from 1.
Therefore, 1.08 is closest to 1.

A Peek Beyond the Point Class 7 Solutions Ganita Prakash Maths Chapter 3

In each case below, use the digits 4, 1, 8, 2, and 5 exactly once and try to make a decimal number as close as possible to 25.
A Peek Beyond the Point Class 7 Solutions Ganita Prakash Maths Chapter 3 Page 73 Q1
Solution:
We can make a decimal number closest to 25 using the digits 4, 1, 8, 2, and 5 with the given conditions as follows:
A Peek Beyond the Point Class 7 Solutions Ganita Prakash Maths Chapter 3 Page 73 Q1.1

3.7 Addition and Subtraction of Decimals

NCERT In-Text Questions (Pages 75)

Write the detailed place value computation for 84.691 – 77.345, and its compact form.
Solution:
We can find the difference of 84.691 – 77.345 as follows:
A Peek Beyond the Point Class 7 Solutions Ganita Prakash Maths Chapter 3 Page 75 Q1

Figure it Out (Pages 75)

Question 1.
Find the sums.
(a) 5.3 + 2.6
(b) 18 + 8.8
(c) 2.15 + 5.26
(d) 9.01 + 9.10
(e) 29.19 + 9.91
(f) 0.934 + 0.6
(g) 0.75 + 0.03
(h) 6.236 + 0.487
Solution:
A Peek Beyond the Point Class 7 Solutions Ganita Prakash Maths Chapter 3 Page 75 Q1.1

Question 2.
Find the differences.
(a) 5.6 – 2.3
(b) 18 – 8.8
(c) 10.4 – 4.5
(d) 17 – 16.198
(e) 17 – 0.05
(f) 34.505 – 18.1
(g) 9.9 – 9.09
(h) 6.236 – 0.487
Solution:
A Peek Beyond the Point Class 7 Solutions Ganita Prakash Maths Chapter 3 Page 75 Q2

Decimal Sequences

NCERT In-Text Questions (Pages 75-76)

Observe this sequence of decimal numbers and identify the change after each term.
4.4, 4.8. 5.2, 5.6, 6.0,….
We can see that 0.4 is being added to a term to get the next term.
Continue this sequence and write the next 3 terms.
Solution:
4.4, 4.8. 5.2, 5.6, 6.0, 6.4, 6.8, 7.2

Similarly, identify the change and write the next 3 terms for each sequence given below. Try to do this computation mentally.
(a) 4.4, 4.45, 4.5,..…
(b) 25.75, 26.25, 26.75,……
(c) 10.56, 10.67, 10.78,….…
(d) 13.5, 16, 18.5,….…
(e) 8.5, 9.4, 10.3,……
(f) 5, 4.95, 4.90,……
(g) 12.45, 11.95, 11.45,……
(h) 36.5, 33, 29.5,……
Solution:
A Peek Beyond the Point Class 7 Solutions Ganita Prakash Maths Chapter 3 Page 76 Q1

Make your sequences and challenge your classmates to extend the pattern.
Solution:
Do it yourself.

Estimating Sums and Differences

NCERT In-Text Questions (Pages 76)

Sonu has observed sums and differences of decimal numbers and says, “If we add two decimal numbers, then the sum will always be greater than the sum of their whole number parts. Also, the sum will always be less than 2 more than the sum of their whole number parts.”
Let us use an example to understand what his claim means:
If the two numbers to be added are 25.936 and 8.202, the claim is that their sum will be greater than 25+ 8 (whole number parts) and will be less than 25 + 1 + 8 + 1.

What do you think about this claim? Verily if this is true for these numbers. Will it work for any 2 decimal numbers?
Solution:
The given numbers are 25.936 and 8.202.
Sum of whole number parts = 25 + 8 = 33
Sum of given decimal numbers = 25.936 + 8.202 = 34.138
Clearly, 33 < 34.138 < (33 + 2)
Let another two decimal numbers 1.532 and 4.536
Sum of whole number part = 1 + 4 = 5
Sum of given decimal numbers = 1.532 + 4.536 = 6.068
Clearly, 5 < 6.068 < 5 + 2
So, the claim is true for the sum of any two decimal numbers.

What about for the sum of 25.93603259 and 8.202?
Solution:
The given numbers are 25.93603259 and 8.202.
Sum of whole number parts = 25 + 8 = 33
Sum of given decimal numbers = 25.93603259 + 8.202 = 34.13803259
Clearly, 33 < 34.13803259 < (33 + 2)

A Peek Beyond the Point Class 7 Solutions Ganita Prakash Maths Chapter 3

Similarly, come up with a way to narrow down the range of whole numbers within which the difference of two decimal numbers will lie.
Solution:
If we subtract two decimal numbers, then the difference will always be smaller than the difference of their whole number parts +1.
Also, the difference will always be greater than the difference of their whole-number parts minus 1.
Verify it yourself.

3.8 More on the Decimal

System Deceptive Decimal Notation

NCERT In-Text Questions (Pages 78)

Where else can we see such ‘non-decimals’ with a decimal-like notation?
Solution:
Do it yourself.

Figure it Out (Pages 78-80)

Question 1.
Convert the following fractions into decimals:
(a) \(\frac{5}{100}\)
(b) \(\frac{16}{1000}\)
(c) \(\frac{12}{10}\)
(d) \(\frac{254}{1000}\)
Solution:
A Peek Beyond the Point Class 7 Solutions Ganita Prakash Maths Chapter 3 Page 78 Q1

Question 2.
Convert the following decimals into a sum of tenths, hundredths, and thousandths:
(а) 0.34
(b) 1.02
(c) 0.8
(d) 0.362
Solution:
A Peek Beyond the Point Class 7 Solutions Ganita Prakash Maths Chapter 3 Page 78 Q2

Question 3.
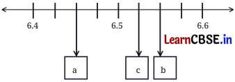
What decimal number does each letter represent in the number line below?
A Peek Beyond the Point Class 7 Solutions Ganita Prakash Maths Chapter 3 Page 78 Q3
Solution:
There are 4 divisions between 6.4 and 6.5, so each division is one-fourth part of 0.1 or \(\frac{1}{10}\), i.e., \(\frac{1}{40}\) = 0.025 unit.
Therefore, the second division after 6.4, denoted by ‘a’, represents the number 6.45, while the first division after 6.5, denoted by ‘c’, represents the number 6.525, and the second division after 6.5, denoted by ‘b’, represents the number 6.55.

Question 4.
Arrange the following quantities in descending order:
(a) 11.01, 1.011, 1.101, 11.10, 1.01
(b) 2.567, 2.675, 2.768, 2.499, 2.698
(c) 4.678 g, 4.595 g, 4.600 g, 4.656 g, 4.666 g
(d) 33.13 m, 33.31 m, 33.133 m, 33.331 m, 33.313 m
Solution:
(a) Using the decimal place value chart, we find that:
A Peek Beyond the Point Class 7 Solutions Ganita Prakash Maths Chapter 3 Page 78 Q4
Here, the two numbers 11.01 and 11.10 have 11 whole-number parts, but the first number has 0 tenths, whereas the second number has 1 tenth. Therefore, 11.10 > 11.01. The three numbers 1.011, 1.101, and 1.01 have 1 whole number part, but the first and third numbers have 0 tenths, whereas the second number has 1 tenth. Therefore, 1.101 is the greatest among the three. Now, comparing the remaining two numbers, we get 1.011 > 1.01.
Thus, the numbers in descending order are: 11.10 > 11.01 > 1.101 > 1.011 > 1.01.
Similarly, we can arrange the other given quantities using a decimal place value chart as follows:

(b) 2.567, 2.675, 2.768, 2.499, 2.698
A Peek Beyond the Point Class 7 Solutions Ganita Prakash Maths Chapter 3 Page 78 Q4.1
Thus, the given quantities in descending order are:
2.768 > 2.698 > 2.675 > 2.567 > 2.499

(c) 4.678 g, 4.595 g, 4.600 g, 4.656 g, 4.666 g
A Peek Beyond the Point Class 7 Solutions Ganita Prakash Maths Chapter 3 Page 78 Q4.2
Thus, the given quantities in descending order are:
4.678 g > 4.666 g > 4.656 g > 4.600 g > 4.595 g.

(d) 33.13 m, 33.31 m, 33.133 m, 33.331 m, 33.313 m
A Peek Beyond the Point Class 7 Solutions Ganita Prakash Maths Chapter 3 Page 78 Q4.3
Thus, the given quantities in descending order are:
33.331 m > 33.313 m> 33.31 m > 33.133 m > 33.13 m.

A Peek Beyond the Point Class 7 Solutions Ganita Prakash Maths Chapter 3

Question 5.
Using the digits 1, 4, 0, 8, and 6, make:
(a) The decimal number closest to 30.
(b) The smallest possible decimal number between 100 and 1000.
Solution:
Using the digits 1, 4, 0, 8, and 6, we can make:
(a) The decimal number closest to 30 → 40.168.
(b) The smallest possible decimal number between 100 and 1000 → 104.68

Question 6.
Will a decimal number with more digits be greater than a decimal number with fewer digits?
Solution:
No. It is not necessary as 0.9 > 0.123456789.

Question 7.
Mahi purchases 0.25 kg of beans, 0.3 kg of carrots,0.5 kg of potatoes, 0.2 kg of capsicums, and 0.05 kg of ginger. Calculate the total weight of the items she bought.
Solution:
The total weight of the items Mahi bought = 0.25 kg + 0.3 kg + 0.5 kg + 0.2 kg + 0.05 kg = 1.3 kg.

Question 8.
Pinto supplies 3.79 L, 4.2 L, and 4.25 L of milk to a milk dairy in the first three days. In 6 days, he supplies 25 litres of milk. Find the total quantity of milk supplied to the dairy in the last three days.
Solution:
The total quantity of milk supplied to the dairy in the last three days = Total milk supplied in the 6 days – Total milk supplied in the first 3 days
= 25 L – (3.79 L + 4.2 L + 4.25 L)
= 25 L – 12.24 L
= 12.76 L

Question 9.
Tinku weighed 35.75 kg in January and 34.50 kg in February. Has he gained or lost weight? How much is the change?
Solution:
Since 35.75 kg > 34.50 kg, Tinku has lost weight.
Now, the change in the weight = 35.75 kg – 34.50 kg = 1.25 kg.

Question 10.
Extend the pattern: 5.5, 6.4, 6.39, 7.29, 7.28, 8.18, 8.17, ____, _____
Solution:
Let us analyse the given pattern:
5.5 (+0.9) 6.4 (-0.01) 6.39 (+0.9) 7.29 (-0.01) 7.28 (+0.9) 8.18 (-0.01) 8.17.
So, the sequence follows an increasing trend of 0.9 and then a decreasing trend of 0.01 alternatively.
Thus, the next two numbers are 9.07 and 9.06.

Question 11.
How many millimetres make 1 kilometre?
Solution:
We know that 1 km = 1000 m and 1 m = 1000 mm
Therefore, 1 km = 1000 × 1000 mm= 1000000 mm

Question 12.
Indian Railways offers optional travel insurance for passengers who book e-tickets. It costs 45 paise per passenger. If 1 lakh people opt for insurance in a day, what is the total insurance fee paid?
Solution:
The insurance fee paid for 1 passenger = 45 p = ₹ 0.45
So, total insurance fee paid for 1 lakh passengers = ₹ 0.45 × 100000 = ₹ 45000

A Peek Beyond the Point Class 7 Solutions Ganita Prakash Maths Chapter 3

Question 13.
Which is greater?
(a) \(\frac{10}{1000}\) or \(\frac{1}{10}\)?
(b) One-hundredth or 90 thousandths?
(c) One-thousandth or 90 hundredths?
Solution:
A Peek Beyond the Point Class 7 Solutions Ganita Prakash Maths Chapter 3 Page 78 Q13

Question 14.
Write the decimal forms of the quantities mentioned (an example is given):
(a) 87 ones, 5 tenths, and 60 hundredths = 88.10
(b) 12 tens and 12 tenths
(c) 10 tens, 10 ones, 10 tenths, and 10 hundredths
(d) 25 tens, 25 ones, 25 tenths, and 25 hundredths
Solution:
(a) 87 ones, 5 tenths, and 60 hundredths = 88.10
A Peek Beyond the Point Class 7 Solutions Ganita Prakash Maths Chapter 3 Page 78 Q14
A Peek Beyond the Point Class 7 Solutions Ganita Prakash Maths Chapter 3 Page 78 Q14.1

Question 15.
Using each digit 0-9 not more than once, fill the boxes below so that the sum is closest to 10.5:
A Peek Beyond the Point Class 7 Solutions Ganita Prakash Maths Chapter 3 Page 78 Q15
Solution:
A Peek Beyond the Point Class 7 Solutions Ganita Prakash Maths Chapter 3 Page 78 Q15.1

A Peek Beyond the Point Class 7 Solutions Ganita Prakash Maths Chapter 3

Question 16.
Write the following fractions in decimal form:
(a) \(\frac{1}{2}\)
(b) \(\frac{3}{2}\)
(c) \(\frac{1}{4}\)
(d) \(\frac{3}{4}\)
(e) \(\frac{1}{5}\)
(f) \(\frac{4}{5}\)
Solution:
A Peek Beyond the Point Class 7 Solutions Ganita Prakash Maths Chapter 3 Page 78 Q16